合作客户/
拜耳公司 |
同济大学 |
联合大学 |
美国保洁 |
美国强生 |
瑞士罗氏 |
相关新闻Info
-
> 不同表面张力液体的多样定向运输模式,如何实现?
> Na2CO3溶液与模拟油反应不同时间后产物的界面张力、剪切黏度(二)
> 基于阴离子?非离子型表面活性剂复配最佳强化润湿高效驱油体系——实验部分
> 新型纳米材料2-D纳米黑卡在油水界面的微观驱油机理、界面张力测定(一)
> 往复振动筛板塔强化低界面张力萃取体系传质效率(一)
> 我们的身体会长歪,只是被表面张力“捏”了回来!
> 基于表面张力系数等模拟液滴撞击热壁面的动力学行为(二)
> 超微量天平应用案例:铅试金富集称量法测定含铜物料中金和银含量
> 球拟假丝酵母菌合成槐糖脂类表面活性剂、降解含油废水的表面张力(一)
> 液态Ag-O系表面张力和表面过剩量计算、氧气压力和温度的预测模型——摘要、简介
推荐新闻Info
-
> 十二胺功能化石墨烯量子点的制备、表面张力及对L-薄荷醇的缓释作用(三)
> 十二胺功能化石墨烯量子点的制备、表面张力及对L-薄荷醇的缓释作用(二)
> 十二胺功能化石墨烯量子点的制备、表面张力及对L-薄荷醇的缓释作用(一)
> 超微量天平比普通电子天平“好”在哪?
> 界面张力仪评估氨基化氧化石墨烯-脂肪酸共吸附机制、应用潜力(四)
> 界面张力仪评估氨基化氧化石墨烯-脂肪酸共吸附机制、应用潜力(三)
> 界面张力仪评估氨基化氧化石墨烯-脂肪酸共吸附机制、应用潜力(二)
> 界面张力仪评估氨基化氧化石墨烯-脂肪酸共吸附机制、应用潜力(一)
> LB膜分析仪证明SP-B在肺表面活性物质三维结构形成中的关键作用
> 新型多功能解堵体系-单相酸体系乳化、界面张力测定及现场应用效果(二)
十二胺功能化石墨烯量子点的制备、表面张力及对L-薄荷醇的缓释作用(三)
来源:高等学?;аП?/span> 浏览 45 次 发布时间:2025-10-31
2.4负载型样品表征
以DA-GQD为颗粒乳化剂、L-薄荷醇(热熔)为油相制备的Pickering乳液的光学显微镜照片(OM)如图5(A)所示。从图5(A)可以看出,Pickering乳滴粒径约为10μm,具有规则统一的球形形貌。由于DA-GQD具有较高的亲水性,因此倾向于形成稳定的水包油型乳液。DA-GQD固体颗粒分散在薄荷醇/水界面,这是因为液-液界面的一部分被液-颗粒界面代替时总界面能降低,L-薄荷醇被微小的石墨烯片覆盖,位于液滴的中心。
图5(B)是Pickering乳液法制备得到的负载L-薄荷醇的石墨烯量子点样品的SEM照片,从图5(B)可以看出,负载型样品呈规则的球形,粒径分布均匀,平均粒径约为10μm。由于具有两亲结构的DA-GQD在薄荷醇/水界面上的自组装导致薄荷醇球形表面具有一层疏松的壳层,这个壳层的存在对于薄荷醇的缓释至关重要。通过改变Pickering乳液中DA-GQD的浓度可以调节壳层的分布和厚度,从而对薄荷醇的缓释行为进行有效调控。
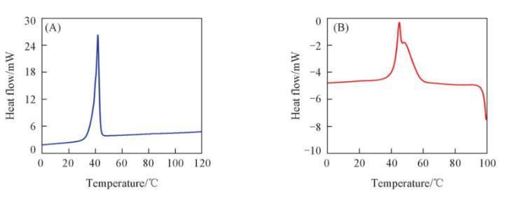
2.5薄荷醇的释放动力学
图6(A)和(B)分别为空白样品与负载型样品的示差扫描量热(DSC)曲线。从图6(A)可以看出,L-薄荷醇样品在大约42℃左右出现一个尖锐的吸热峰,对应于L-薄荷醇的熔点。而负载型样品则出现了两个吸热峰[图6(B)],其中第一个峰主要是由生长在DA-GQD外表面的薄荷醇小晶体融化引起的,而第二个峰主要是由DA-GQD包覆的薄荷醇小晶体融化引起的。这与刘绍华等的研究结果相类似。
进一步研究了在不同温度的空气吹扫作用下负载型样品中薄荷醇的释放行为。从图7(A)可以看出,30℃空气吹扫下,5个样品逐渐释放薄荷醇,其中空白(曲线a)的释放速率显著高于其它样品。DA-GQD混合样品和GA-GQD(1.0%)在前10 h释放薄荷醇的差别比较小,释放速率分别为17.7%和12.4%。然而,随着时间的延长,混合型样品负载样品b的释放速率越来越快,87 h后样品的释放率达81.7%,而此时负载型样品DA-GQD(1.0%),DA-GQD(5.0%)和DA-GQD(10.0%)的释放率分别为51.2%,34.8%和28.7%。这说明DA-GQD对薄荷醇的释放具有较好的抑制作用,且DA-GQD的浓度越大,负载型样品的缓释效果越好。
当采用80℃空气吹扫时,5个样品的薄荷醇释放速率都显著加快,彼此间的差异也更明显[图7(B)]。空白样品在2.5 h时即达到完全释放。混合型样品在2.5 h时的释放率达91.4%,并在5 h后达到完全释放。而负载型样品DA-GQD(1.0%)与前两者的差别在释放初期就明显体现出来,其释放率在2.5 h时仅为12.5%,5 h之后为23.5%,远远低于空白样品与混合型样品;随着时间的延长,样品DA-GQD(1.0%)逐渐释放薄荷醇,经过23 h的高温空气吹扫后薄荷醇完全释放??杉?,在高温(80℃)吹扫下,相同质量的负载型样品完全释放薄荷醇所需要的时间显著长于空白样品与混合型样品,分别是其9.2倍与4.6倍,从而进一步证明了DA-GQD对于薄荷醇的释放具有较好的抑制作用。原因可能是石墨烯量子点含有丰富的功能基团(如羟基和羧基),可与L-薄荷醇中的羟基产生氢键作用,从而使负载型样品中的薄荷醇具有良好的缓慢释放行为。
白家峰等采用聚多巴胺(PDA)修饰的介孔二氧化硅微球负载L-薄荷醇,发现PDA涂层有利于薄荷醇的可控缓慢释放,在30℃空气吹扫作用下,负载样品中的薄荷醇在25 h后几乎释放完全;而在80℃空气吹扫作用下,负载样品中的薄荷醇在100 min后接近完全释放??杉狙芯恐频玫母涸靥逑稻哂薪嫌诺某ばЩ菏托阅?。
3结论
以柠檬酸为前驱体、十二胺为功能化试剂,采用一步热解法制备的十二胺功能化石墨烯量子点(DA-GQD)具有优异的表面活性;以此双亲性石墨烯量子点为颗粒乳化剂、热熔L-薄荷醇为油相制备Pickering乳液,冷却至室温后析出负载L-薄荷醇的石墨烯量子点。不同温度下吹扫研究发现,在较宽的温度范围内,负载型样品显示出良好的缓释性能,通过控制Pickering乳液中DA-GQD的浓度可以有效调控薄荷醇的释放速率。这种新颖的制备工艺可为设计开发医药和烟草等领域的高性能负载型薄荷醇制品提供新思路。





