合作客户/
拜耳公司 |
同济大学 |
联合大学 |
美国保洁 |
美国强生 |
瑞士罗氏 |
相关新闻Info
-
> 泡沫发生以及破裂机理|发泡剂在泡沫染整中的主要作用及类型
> 不同温度下可溶解聚乙二醇低共熔溶剂的密度、电导率、表面张力等性质(二)
> 烷基-β-D-吡喃木糖苷溶解性、表面张力、乳化性能等理化性质研究(一)
> 钌催化剂合成丁炔二醇醚三硅氧烷表面活性剂反应条件及表面张力测定(三)
> 浮选药剂的性能、组合用药机理及协同效应的影响因素(一)
> 超低界面张力复配表面活性剂用于渤海X油田水驱后的“挖潜提采”(一)
> 咪唑类离子液体对不同煤尘润湿性能的影响规律(上)
> 什么是超微量天平,超微量天平使用方法、最小称量值
> 接触角迟滞时气~液界面张力的温度敏感性对液滴蒸发过程的影响——结果分析、结论
> 肥皂水、蒸馏水、纯水的表面张力是多少,水的表面张力系数
双子型起泡剂ULT-1的分子结构式、表面张力、抗温/抗盐性能及煤样润湿性变化——实验
来源:中南大学学报(自然科学版) 浏览 358 次 发布时间:2025-08-26
2实验
2.1材料与仪器
材料有:1-十二烷醇C12H25OH,化学纯,济宁宏明化学试剂有限公司生产;四丁基硫酸氢铵(TBAHS)Bu4NHSO4,分析纯,天津致远化学试剂有限公司;1,3-丙二醇HOCH2CH2CH2OH,分析纯,济宁宏明化学试剂有限公司生产;环氧氯丙烷C3H5ClO,化学纯,济宁宏明化学试剂有限公司生产;氢氧化钠NaOH,分析纯,济宁宏明化学试剂有限公司生产;无水乙醇C?H?OH,化学纯,济宁宏明化学试剂有限公司生产;BF3-乙醚溶液,北京化工厂生产;氯磺酸HSO3Cl,化学纯,成都化夏化学试剂有限公司生产;去离子水,分析纯,实验室自制。
仪器有:傅里叶变换红外光谱仪,高分辨质谱仪,Bruker公司制造;接触角/表面张力测量仪,芬兰Kibron公司制造;高速变频无级调速搅拌机,青岛同春石油仪器有限公司制造;电热恒温鼓风干燥箱,电动搅拌机,数控恒温油水浴锅,旋转蒸发仪,北京神泰伟业科技有限公司制造;电子天平,上海舜宇恒平科学仪器有限公司制造;三口烧瓶、恒压滴液漏斗、量筒、分液漏斗、烧杯、锥形瓶、球形冷凝管、保温漏斗、酒精灯。
2.2起泡剂ULT-1的合成
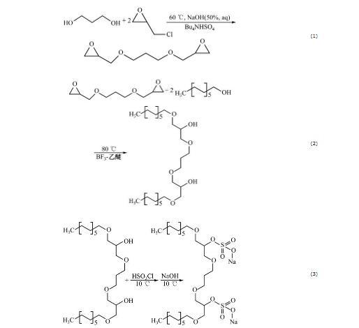
在三口烧瓶中加入1,3-丙二醇、环氧氯丙烷和四丁基硫酸氢铵,在40~50℃下搅拌。用恒压滴液漏斗滴加质量分数为50%NaOH水溶液,继续在40~60℃搅拌2 h。用分液漏斗分出上层有机相,加入乙醇,热过滤除去无机盐,旋蒸除去乙醇和环氧氯丙烷,干燥得到环氧醚。在三口烧瓶中加入1-十二醇,BF3-乙醚溶液,搅拌片刻升温至30~40℃,在搅拌条件下逐滴加入上步产物环氧醚,滴完后升温至60~80℃,搅拌5 h,用分液漏斗分出上层有机相,旋蒸除去十二醇和环氧醚,干燥得到醇醚。在三口烧瓶中加入上步产物醇醚,搅拌,在10~20℃时非常缓慢地滴加氯磺酸,采用尾气回收装置除去氯化氢气体,搅拌3 h,加入乙醇,热过滤除去无机盐,旋蒸除去乙醇,干燥得到最终产物起泡剂ULT-1。反应原理如下列:
2.3起泡剂ULT-1的结构表征
1)红外光谱分析。将中间产物环氧醚和醇醚采用液膜法制样,新型起泡剂ULT-1采用溴化钾压片法制样,利用傅里叶变换红外光谱仪表征其分子结构。
2)质谱分析。将研制的新型起泡剂ULT-1用甲醇溶解,利用高分辨质谱仪采用电喷雾质谱法(ESI?MS)表征其分子结构。
2.4起泡剂ULT-1的性能评价
1)表面张力。在室温下,利用接触角/表面张力测量仪,通过最大拉力法测定一系列不同质量分数起泡剂ULT-1水溶液的表面张力。
2)起泡性能。在室温下,参照中国石油天然气行业标准SY/T 5350—2009“钻井液用发泡剂评价程序”的测试方法,评价一系列不同质量分数起泡剂ULT-1水溶液的起泡性能,包括发泡体积和半衰期,同时评价常规起泡剂十二烷基硫酸钠、十二烷基苯磺酸钠、十二烷基二甲基甜菜碱的泡沫半衰期进行对比。
3)抗盐性能。在室温下,参照中国石油天然气行业标准SY/T 5350—2009“钻井液用发泡剂评价程序”的测试方法,评价质量分数0.2%的起泡剂ULT-1水溶液抗NaCl污染的能力。
4)抗温性能。在一定温度下,参照中国石油天然气行业标准SY/T 5350—2009“钻井液用发泡剂评价程序”的测试方法,评价质量分数为0.2%的起泡剂ULT-1水溶液的抗温性能。
5)煤样润湿性。在室温下,利用接触角/表面张力测量仪,通过五点拟合法分别测量纯水在原始煤样(煤样A)、质量分数为0.2%的起泡剂ULT-1水溶液浸泡1 h烘干的煤样(煤样B)、质量分数为0.2%的起泡剂ULT-1水溶液浸泡1 h后,低速水流冲洗1 h烘干的煤样(煤样C)表面的接触角,测定起泡剂ULT-1对煤样润湿性能的影响。实验中所用煤样取自滇东黔西地区,需经过以下步骤处理:用砂纸(6μm)将各个煤块的上下两面磨至水平,再用细毛刷清除研磨时掉下的黏附在煤面上的煤粒和砂粒,然后用细砂纸(1.8μm)将各个煤块的上、下两面磨至光滑,进行抛光处理,最后用细毛刷清除研磨时掉下的黏附在煤面上的煤粒和砂粒,得到上、下两面水平光滑的待测煤样。
双子型起泡剂ULT-1的分子结构式、表面张力、抗温/抗盐性能及煤样润湿性变化——摘要